
Առաջադրանքներ․
1)Ընդհանուր արտադրիչը դուրս բերեք փակագծերից․

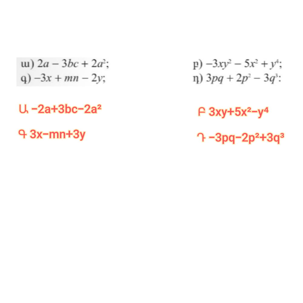
2)Գրե’ք բազմանդամի հակադիր բազմանդամը․

3)M և N տառերի փոխարեն ընտրեք այնպիսի միանդամներ, որ ստացվի ճիշտ հավասարություն․

Լրացուցիչ աշխատանք (տանը)․
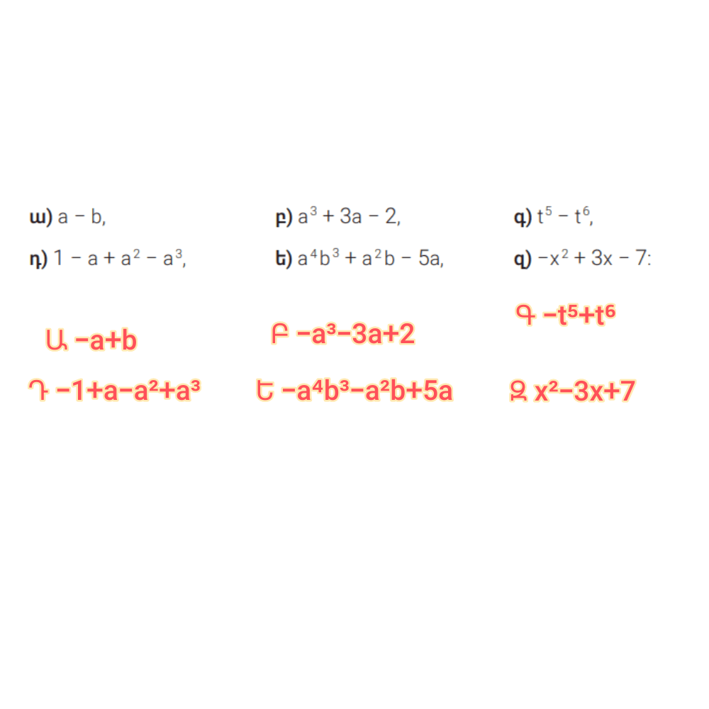
1)Գրե’ք բազմանդամի հակադիր բազմանդամը․

2)Առանձնացրե՛ք ընդհանուր արտադրիչը և գրե՛ք միանդամի ու բազմանդամի արտադրյալի տեսքով․
