
1)Նշե’ք որևէ չորս A, B, C, D, կետեր: A և D կետերը միացրեք բեկյալ գծով, որը անցնում է B և C կետերով: Որոշել բեկյալի երկարությունը:AB=5սմBC=4սմCD=5սմAD-?

2)Գտնել ABCDE բեկյալի երկարությունը, եթե AB=11սմ, BC=5 սմ, CD=8 սմ, DE=14 սմ:

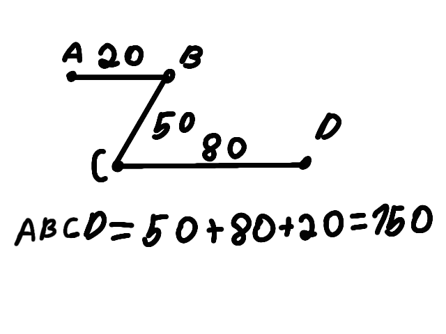
3)Գտնել ABCD բեկյալի երկարությունը՝ արտահայտված սանտիմետրով։ Եթե AB=20դմ, BC=50 դմ, CD =80դմ։

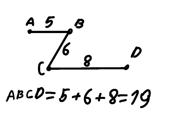
4)Բեկյալի օղակների երկարություններն են 5 սմ, 6սմ և 8 սմ։ Գտեք այդ բեկյալի երկարությունը։

5)A-ից B գնալու համար նույն արագությամբ շարժվող հետիոտներից առաջինն ընտրեց կապույտ ճանապարհը, երկրորդը՝ կանաչ ճանապարհը, երրորդը՝ դեղին ճանապարհը։ Ի՞նչ հերթականութ
