

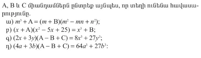
Ա A=n³ B=n
Բ A=5 B=125
Գ A=4x² B=36xy C=9y²
Դ A=16a² B=144ab C=9b²

ա x³-y³
բ 5³-a³
Գ 2³m³-5³n³
դ 7³p³+q³

Ա A=64 B=4
Բ A=27a B=2c² C=9a²
Գ B=a³ A=3a²
Դ A=8a¹⁰ C=2a
Հաշվի՛ր օգտվելով խորանարդների տարբերության բանաձևից՝a3 — b3 = (a – b) (a2 + ab + b2) 1

ա (m-1)(m²+m+1)
բ (p-3q)(p²+3qp+9q²)
գ (5x-2y)(25x²+10xy+4y²)
ե (x²-y²)(x⁴+x²y²+y⁴)
զ (m4-4)(m8+4m+16)
ը (c2d-k)(c4d2+c2dk+k2)